
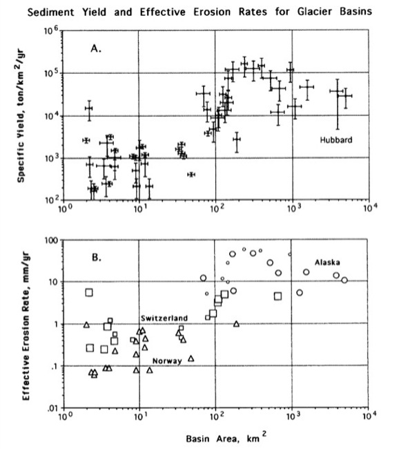
View Original Image at Full SizeMeasurements of denudation rates for glacier basins, expressed as specific yield (A) and effective erosion rate (B). Regions denoted in B are southeast Alaska (large circles represent observations over decades to centuries, small circles represent shorter records), Swiss Alps (small squares), Norway/Svalbard (triangles), and other areas (large squares). From Hallet et al., 1996.
Image 12501 is a 683 by 621 pixel WebP
Uploaded:
Jul24 08
Permanent URL: https://serc.carleton.edu/download/images/12501/measurements_denudation_rates_.webp
The file is referred to in 1 page
Provenance
Hallet et al., 1996
ReuseThis item is offered under a Creative Commons Attribution-NonCommercial-ShareAlike license
http://creativecommons.org/licenses/by-nc-sa/3.0/ You may reuse this item for non-commercial purposes as long as you provide attribution and offer any derivative works under a similar license.